Contents





Introduction

During rasterization, the triangles in the scene are converted into fragments. Assuming that lighting is supported, the fragment shader is then executed for each of these fragments, in which it adds up the lighting contributions from all light sources in the scene, and computes the final color of the fragment. All fragments are then subjected to depth testing, and those who fail the test are discarded.

This is the typical pipeline that exists in most real-time graphics applications. It can achieve interactive frame-rate for simple scenes with a few light sources. However, it does not scale well with the increase in the number of light sources in the scene. That is, it will fail to maintain adequate frame-rate with more complex scenes with hundreds or thousands of light sources. Hence, the idea of light culling was introduced.

Light culling is an optimization technique in rendering. The idea of light culling is that at certain great distances from the light source, the light contribution from that light source becomes so small, because of attentuation, that ignoring the light source completely in the fragment shading computation will not affect the physical accuracy of the final scene by a great deal, and, in return, save us significant computational cost.



Naive Tiled Light Culling Algorithm


The naive tiled light culling algorithm is described as follows:

Let \(W \times H\) be the screen resolution, and \(S\) be the number of light sources in the scene.

  1. For each light source \(L_{k}\), create a bounding sphere \(B_{k}\)

  2. Dissect the screen into \(N_x \times N_y\) tiles \(T_{i < N_x , j < N_y}\) with equal resolution \(R_x \times R_y\), where $$ N_x = \lceil \frac{W}{R_x} \rceil $$ $$ N_y = \lceil \frac{H}{R_y} \rceil $$
  3. For each tile \(T_{ij}\)

    • Compute its frustum \(F_{ij}\)

    • Initialize an array \(V_{ij}\) with size \(S\). This array will store the indices of light sources whose bounding sphere intersects the tile frustum \(F_{ij}\)

    • Initialize a variable \(C_{ij}\). This variable will store the actual count of light sources whose bounding sphere intersects the tile frustum \(F_{ij}\)

  4. Iterate through all the light sources \(L_{k}\) and test the intersection between the light bounding sphere \(B_{k}\) and each tile frustum \(F_{ij}\). If \(B_{k}\) intersects the frustum \(F_{ij}\), record \(k\) into \(V_{ij}\) and increment \(C_{ij}\) by \(1\)

  5. In the fragment shader of the main shading pass:

    • Locate the tile \(T_{ij}\) that the fragment resides in, where $$ i = \lfloor \frac{gl\_FragCoord.x}{R_x} \rfloor $$ $$ j = \lfloor \frac{gl\_FragCoord.y}{R_y} \rfloor $$
    • Compute the color of the fragment by only considering the \(C_{ij}\) light sources whose indices are inside the array \(V_{ij}\)


Screen dissected into \(16 \times 10\) tiles
Screen dissected into \(16 \times 10\) tiles


Light Bounding Sphere


Let \(B_k\) be the bounding sphere of the light source \(L_k\). The center \(c_k = (c_{kx}, c_{ky}, c_{kz})\) of \(B_k\) is the light position, and the radius \(r_k\) of \(B_k\) is the distance at which the maximum component of the light intensity \(I_k\) equals a user-defined scalar value, let’s call it \(I_{k, min}\). This assumes the use of inverse square law to model the attentuation of the light source, which states that the light intensity \(I\) is inversely proportional to the square of the distance \(d\) from the light source. That is, the intensity of the light source at distance \(d\); call it \(I_d\), is

\[I_d = \frac{I}{d^2}\]

Hence, we can calculate the radius of \(B_k\) as follows:

\[r = \sqrt{\frac{max \; (I.r, \; I.g, \; I.b)}{I_{k, min}}}\]

Below is the code for the function that computes the bounding sphere for a light source:

glm::vec4 ComputeLightBoundingSphere(glm::vec3 position, glm::vec3 color, float minIntensity)
{
    float radius = sqrt(max{color.r, color.g, color.b} / minIntensity);
    
    return glm::vec4(position, radius);
}


The data structure used to represent the bounding sphere is vec4. The XYZ component of the vector will contain the center of the sphere and the W component will contain the radius of the sphere.


Tile Frustum


A frustum consists of \(6\) planes: top, bottom, right, left, near, and far. The equation of a plane \(P\) is defined as the points \(Q\) such that:

\[P \cdot Q = 0\]



We want to construct the view-space frustum \(F_{ij} = \{ \pi_{ij}^L, \pi_{ij}^R, \pi_{ij}^T, \pi_{ij}^B, \pi_{ij}^N, \pi_{ij}^F \}\) of the tile \(T_{ij}\). We know that the range of screen coordinates of tile \(T_{ij}\) is


\[x^{ij}_{screen, min} = iR_x\] \[x^{ij}_{screen, max} = iR_x + R_x = R_x(i+1)\] \[y^{ij}_{screen, min} = jR_y\] \[y^{ij}_{screen, max} = jR_y + R_y = R_y(j+1)\]


Since the ndc coordinates are in the range of \([-1, 1]\), then each tile has ndc resolution of \(\frac{2}{N_x} \times \frac{2}{N_y}\). This means that the range of ndc coordinates of tile \(T_{ij}\) is,


\[x^{ij}_{ndc, min} = -1 + \frac{2i}{N_x}\] \[x^{ij}_{ndc, max} = -1 + \frac{2i}{N_x} + \frac{2}{N_x} = -1 + \frac{2i}{N_x}(i + 1)\] \[y^{ij}_{ndc, min} = -1 + \frac{2j}{N_y}\] \[y^{ij}_{ndc, max} = -1 + \frac{2j}{N_y} + \frac{2}{N_y} = -1 + \frac{2j}{N_y}(j + 1)\]


Deriving Equation for Left Plane \(\pi_{ij}^L\)


Now, let’s start by deriving the equation for the left plane \(\pi_{ij}^L\) of the frustum \(F_{ij}\). The points that lie on the plane \(\pi_{ij}^L\) are the set of points \(q_{view}\) in view-space such that when converted to ndc, their x-coordinates is equal to \(x^{ij}_{ndc, min}\). More formally,

\[\pi_{ij}^L = \{ {q_{view} | q_{ndc} = x^{ij}_{ndc, min}} \}\]


We know that

\[x^{ij}_{ndc, min} = \frac{q_{clip, x}}{q_{clip, w}}\]

We also know that


\[q_{clip, x} = projectionMatrix[0] \cdot q_{view}\] \[q_{clip, w} = projectionMatrix[3] \cdot q_{view}\]


Hence,

\[x^{ij}_{ndc, min} = \frac{q_{clip, x}}{q_{clip, w}}\] \[q_{clip, x} = x^{ij}_{ndc, min} \; q_{clip, w}\] \[q_{clip, x} - x^{ij}_{ndc, min} \; q_{clip, w} = 0\] \[projectionMatrix[0] \cdot q_{view} - x^{ij}_{ndc, min} \; projectionMatrix[3] \cdot q_{view} = 0\] \[(projectionMatrix[0] - x^{ij}_{ndc, min} \cdot projectionMatrix[3]) \cdot q_{view} = 0\]

This means that the equation of the left plane \(\pi_{ij}^L\) of the frustum \(F_{ij}\) is


\[\pi_{ij}^L: \; projectionMatrix[0] - x^{ij}_{ndc, min} \cdot projectionMatrix[3]\]



Deriving Equation for Right Plane \(\pi_{ij}^R\)


Next, let’s derive the equation of the right plane \(\pi_{ij}^R\) of the frustum \(F_{ij}\). The points that lie on the plane \(\pi_{ij}^R\) are the set of points \(q_{view}\) in view-space such that when converted to ndc, their x-coordinates is equal to \(x^{ij}_{ndc, max}\). More formally,

\[\pi_{ij}^R = \{ {q_{view} | q_{ndc} = x^{ij}_{ndc, max}} \}\]


We know that

\[x^{ij}_{ndc, max} = \frac{q_{clip, x}}{q_{clip, w}}\]

We also know that


\[q_{clip, x} = projectionMatrix[0] \cdot q_{view}\] \[q_{clip, w} = projectionMatrix[3] \cdot q_{view}\]


Hence,

\[x^{ij}_{ndc, max} = \frac{q_{clip, x}}{q_{clip, w}}\] \[q_{clip, x} = x^{ij}_{ndc, max} \; q_{clip, w}\] \[q_{clip, x} - x^{ij}_{ndc, max} \; q_{clip, w} = 0\] \[projectionMatrix[0] \cdot q_{view} - x^{ij}_{ndc, max} \; projectionMatrix[3] \cdot q_{view} = 0\] \[(projectionMatrix[0] - x^{ij}_{ndc, max} \cdot projectionMatrix[3]) \cdot q_{view} = 0\]


This means that the equation of the right plane \(\pi_{ij}^R\) of the frustum \(F_{ij}\) is


\[\pi_{ij}^R: \; projectionMatrix[0] - x^{ij}_{ndc, max} \cdot projectionMatrix[3]\]



Deriving Equation for Bottom Plane \(\pi_{ij}^B\)


Now, let’s start by deriving the equation of the bottom plane \(\pi_{ij}^B\) of the frustum \(F_{ij}\). The points that lie on the plane \(\pi_{ij}^B\) are the set of points \(q_{view}\) in view-space such that when converted to ndc, their y-coordinates is equal to \(y^{ij}_{ndc, min}\). More formally,

\[\pi_{ij}^B = \{ {q_{view} | q_{ndc} = y^{ij}_{ndc, min}} \}\]


We know that

\[y^{ij}_{ndc, min} = \frac{q_{clip, y}}{q_{clip, w}}\]

We also know that


\[q_{clip, y} = projectionMatrix[1] \cdot q_{view}\] \[q_{clip, w} = projectionMatrix[3] \cdot q_{view}\]


Hence,

\[y^{ij}_{ndc, min} = \frac{q_{clip, y}}{q_{clip, w}}\] \[q_{clip, y} = y^{ij}_{ndc, min} \; q_{clip, w}\] \[q_{clip, y} - y^{ij}_{ndc, min} \; q_{clip, w} = 0\] \[projectionMatrix[0] \cdot q_{view} - y^{ij}_{ndc, min} \; projectionMatrix[3] \cdot q_{view} = 0\] \[(projectionMatrix[0] - y^{ij}_{ndc, min} \cdot projectionMatrix[3]) \cdot q_{view} = 0\]

This means that the equation of the bottom plane \(\pi_{ij}^B\) of the frustum \(F_{ij}\) is


\[\pi_{ij}^B: \; projectionMatrix[0] - y^{ij}_{ndc, min} \cdot projectionMatrix[3]\]



Deriving Equation for Top Plane \(\pi_{ij}^T\)


Next, let’s derive the equation of the top plane \(\pi_{ij}^T\) of the frustum \(F_{ij}\). The points that lie on the plane \(\pi_{ij}^T\) are the set of points \(q_{view}\) in view-space such that when converted to ndc, their y-coordinates is equal to \(y^{ij}_{ndc, max}\). More formally,

\[\pi_{ij}^T = \{ {q_{view} | q_{ndc} = y^{ij}_{ndc, max}} \}\]


We know that

\[y^{ij}_{ndc, max} = \frac{q_{clip, y}}{q_{clip, w}}\]

We also know that


\[q_{clip, y} = projectionMatrix[1] \cdot q_{view}\] \[q_{clip, w} = projectionMatrix[3] \cdot q_{view}\]


Hence,

\[y^{ij}_{ndc, max} = \frac{q_{clip, y}}{q_{clip, w}}\] \[q_{clip, y} = y^{ij}_{ndc, max} \; q_{clip, w}\] \[q_{clip, y} - y^{ij}_{ndc, max} \; q_{clip, w} = 0\] \[projectionMatrix[0] \cdot q_{view} - y^{ij}_{ndc, max} \; projectionMatrix[3] \cdot q_{view} = 0\] \[(projectionMatrix[0] - y^{ij}_{ndc, max} \cdot projectionMatrix[3]) \cdot q_{view} = 0\]


This means that the equation of the top plane \(\pi_{ij}^T\) of the frustum \(F_{ij}\) is


\[\pi_{ij}^T: \; projectionMatrix[0] - y^{ij}_{ndc, max} \cdot projectionMatrix[3]\]



Point-Frustum Test


Consider an arbitrary plane \(P\) and a point \(q\). We know that the equation

\[P \cdot q = d\]

gives the signed distance \(d\) between the point \(q\) and the plane \(P\). If \(d \geq 0\), then \(q\) is on the side of the plane to where normal vector of the plane points; or in other words, \(q\) is on the positive side of the plane. On the other hand, if \(d \leq 0\), then \(q\) is on the side of the plane opposite to where the normal vector of the plane points; or in other words, \(q\) is on the negative side of the plane.


Now, to be able to test whether the point \(q_{view}\) is inside frustum \(F_{ij}\), the following conditions must be true:

  • \(q_{view}\) is on the positive side of the plane \(\pi_{ij}^L\)

  • \(q_{view}\) is on the negative side of the plane \(\pi_{ij}^R\)

  • \(q_{view}\) is on the positive side of the plane \(\pi_{ij}^B\)

  • \(q_{view}\) is on the negative side of the plane \(\pi_{ij}^T\)


More formally,

\[\pi_{ij}^L \cdot q_{view} \geq 0\] \[\pi_{ij}^B \cdot q_{view} \geq 0\] \[\pi_{ij}^R \cdot q_{view} \leq 0\] \[\pi_{ij}^T \cdot q_{view} \leq 0\]


To simplify the test of whether the point \(q_{view}\) is inside the frustum \(F_{ij}\) or not, we are going to flip the normal of the right plane \(\pi_{ij}^R\) and the top plane \(\pi_{ij}^T\), so that they are in the opposite directions to the normal of the left plane \(\pi_{ij}^L\) and bottom plane \(\pi_{ij}^B\) respectively. Hence, the equations of the right plane and the top plane becomes:


\[\pi_{ij}^R: \; (x^{ij}_{ndc, max} \cdot projectionMatrix[3]) - projectionMatrix[0]\] \[\pi_{ij}^T: \; (y^{ij}_{ndc, max} \cdot projectionMatrix[3]) - projectionMatrix[1]\]


As a result, the point \(q_{view}\) is inside the frustum \(F_{ij}\) if all of the following conditions are true:

  • \(q_{view}\) is on the positive side of the plane \(\pi_{ij}^L\)

  • \(q_{view}\) is on the positive side of the plane \(\pi_{ij}^R\)

  • \(q_{view}\) is on the positive side of the plane \(\pi_{ij}^B\)

  • \(q_{view}\) is on the positive side of the plane \(\pi_{ij}^T\)


More formally,

\[\pi_{ij}^L \cdot q_{view} \geq 0\] \[\pi_{ij}^B \cdot q_{view} \geq 0\] \[\pi_{ij}^R \cdot q_{view} \geq 0\] \[\pi_{ij}^T \cdot q_{view} \geq 0\]



Below are the updated equations of for the left, right, top, and bottom planes of the frustum of the tile.

\[\pi_{ij}^L: \; projectionMatrix[0] - x^{ij}_{ndc, min} \cdot projectionMatrix[3]\] \[\pi_{ij}^R: \; (x^{ij}_{ndc, max} \cdot projectionMatrix[3]) - projectionMatrix[0]\] \[\pi_{ij}^B: \; projectionMatrix[0] - y^{ij}_{ndc, min} \cdot projectionMatrix[3]\] \[\pi_{ij}^T: \; (y^{ij}_{ndc, max} \cdot projectionMatrix[3]) - projectionMatrix[1]\]



Below is the code for a function that computes the left, right, top, and bottom planes of the frustum of all tiles.

std::vector<glm::vec4> ComputeTileFrustums(glm::uvec2 numTiles, glm::mat4 projection)
{
    std::vector<glm::vec4> tileFrustums(numTiles.x * numTiles.y * 4);
    
    glm::vec4 row1 = glm::vec4(projection[0][0], projection[1][0], projection[2][0], projection[3][0]);
    glm::vec4 row2 = glm::vec4(projection[0][1], projection[1][1], projection[2][1], projection[3][1]);
    glm::vec4 row4 = glm::vec4(projection[0][3], projection[1][3], projection[2][3], projection[3][3]);
    
    float stepX = 2.0f / (float)numTiles.x;
    float stepY = 2.0f / (float)numTiles.y;
        
    for(int x = 0; x < numTiles.x; x++){
        for(int y = 0; y < numTiles.y; y++){
            float offsetX = (float)x * stepX;
            float xMin = -1.0f + offsetX;
            float xMax = xMin + stepX;
            float offsetY = (float)y * stepY;
            float yMin = -1.0f + offsetY;
            float yMax = yMin + stepY;
                        
            std::array<glm::vec4, 4> frustum;
            frustum[0] = row1 - (row4 * xMin);
            frustum[1] = (xMax * row4) - row1;
            frustum[2] = row2 - (row4 * yMin);
            frustum[3] = (yMax * row4) - row2;
            
            for(int i = 0; i < 4; i++)
                frustum[i] /= glm::length(glm::vec3(frustum[i]));
                
            int baseIndex = (y * numTiles.x * 4) + (x * 4);
            for(int i = 0; i < 4; i++)
                tileFrustums[baseIndex + i] = frustum[i];
        }
    }
        
    return tileFrustums;
}



Tile Frustum's Near and Far Plane


We can use the global near and far planes of the view frustum as the near and far planes of each tile frustum \(F_{ij}\). However, this results in a loose frustum for each tile, leading to many false-positive intersections with light bounding spheres. A better approach is to compute the per-tile depth bounds (minimum and maximum depth) from the depth buffer, and use them to construct tighter near and far planes, and in turn, tighter tile frustums.

This requires the implementation of a depth pre-pass before the light culling stage. This pre-pass will bake the depth values of all pixel on the screen into a depth buffer, which is then used in the light culling pass to compute the depth bounds of each tile, and consequently, the near and far plane of the frustum \(F_{ij}\) of the tile \(T_{ij}\).

In a typical rendering pipeline without a depth pre-pass, the fragment shader may execute on many fragments that are later discarded by depth testing, resulting in wasted computation. The inclusion of a depth prepass addresses this problem by baking the depth values into a buffer using a minimal shader ahead of the main shading pass. The main shading pass then uses this depth buffer, instead of writing its own, leading the fragment shader to be executed only on visible fragments. In other words, the inclusion of a depth prepass in the rendering pipeline is not primarily to be used for light culling, but rather mainly to reduce overdraw and improve rendering efficiency.
Color of a car scene
Color of a car scene
Depth of a car scene
Depth of a car scene



Tile-Based Min/Max Depth Reduction for Light Culling


We can compute the minimum and maximum depth of each tile in parallel using the following algorithm:

Suppose the screen is disected into \(N_x \times N_y\) tiles, where each tile \(T_{ij}\) has a resolution of \(R_x \times R_y\). Do the following:

  1. Launch a grid of \(N_x \times N_y\) workgroups, where each workgroup \(W_{ij}\) has a grid of \(R_x \times R_y\) threads, and each thread \([H_{ij}]_{xy}\) manages the pixel \(P_{gk}\), where $$ g = (i \; R_x) + x $$ $$ k = (j \; R_y) + y $$

  2. For each workgroup \(W_{ij}\), initialize a local array \(D_{ij}\) of size \(R_x \times R_y\)

  3. Invoke each thread \([H_{ij}]_{xy}\) to read the depth value of pixel \(P_{gk}\), and store it in \([D_{ij}]_{xy}\)

  4. Enforce a barrier to ensure all threads have written the depth values into \([D_{ij}]\)

  5. For simplicity, we will interpret the \(2D\) grid of threads \([H_{ij}]_{xy}\) and the local \(2D\) array \(D_{ij}\) as \(1D\) arrays with size \(R_x \times R_y\), where the tuple index \( (x, y) \) is mapped to index \([I_{ij}]_{xy}\), where $$ [I_{ij}]_{xy} = (yR_x) + x $$

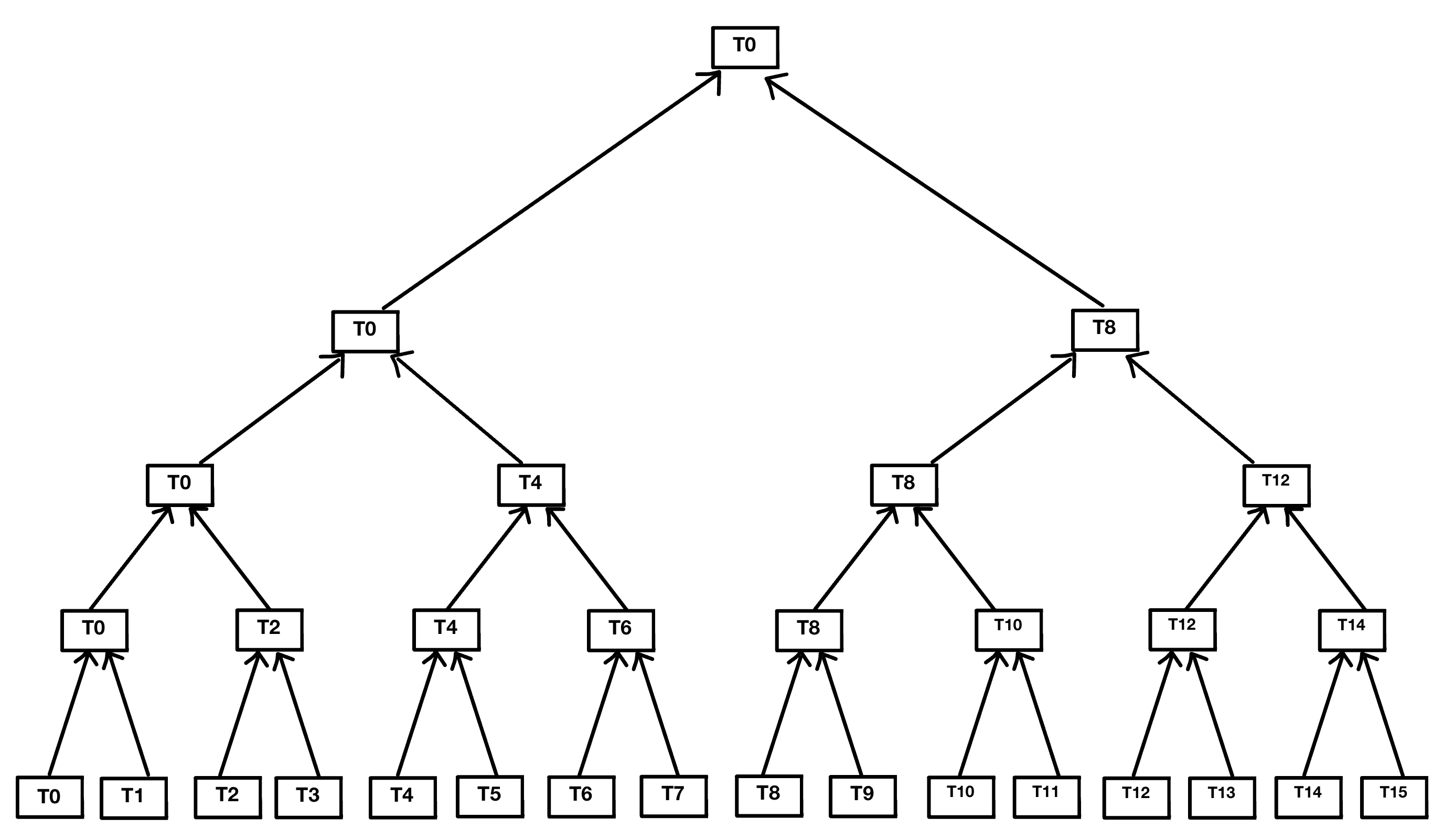
  6. Start a loop iterating from \(0\) to \(log_{2}N\). For each iteration \(z\):

    • Invoke thread \([H_{ij}]_{[I_{ij}]_{xy}}\) to compare the depth values \([D_{ij}]_{[I_{ij}]_{xy}}\) and \([D_{ij}]_{[I_{ij}]_{uv}}\), where $$ [I_{ij}]_{uv}= [I_{ij}]_{xy} + 2^z $$ and store the minimum and the maximum into \([D_{ij}]_{[I_{ij}]_{xy}}\)

    • Enforce a barrier before starting the next iteration to ensure all invoked threads have finished their task

  7. After the loop is finished, \([D_{ij}]_{0}\) will contain the minimum and maximum depth of the tile \([T_{ij}]\).


Computing minimum and maximum depth in parallel using a grid of \(4 \times 4\) threads; or 16 threads
Computing minimum and maximum depth in parallel using a grid of \(4 \times 4\) threads; or 16 threads



Linearizing Depth


The depth values inside the depth buffer are in window-space in the range of \([0,1]\). They must be converted to view-space. Depending on the type of projection used, the conversion process differs.

Let \(n\) and \(f\) be the near and far clipping plane of the view frustum. There are two types of projections: OpenGL-style projection and Vulkan-style projection


OpenGL-style projection


OpenGL-style projection maps view-space depth values to ndc values to be in the range of \([-1,1]\) before converting to window-space to be in the range of \([0,1]\).


Perspective Projection


The following GLM library function apply perspective OpenGL-style projection:

glm::perspective()


In the case of openGL-style perspective projection, \(z_{ndc}\) is calculated as follows:

\[z_{ndc} = \frac{\frac{f+n}{f-n} \, z_{view} + \frac{2fn}{f-n}}{-z_{view}}\]

and hence, \(z_{view}\) can be calculated as follows:

\[z_{ndc} = \frac{\frac{1}{f-n}(z_{view} \; (f+n) + 2fn)}{-z_{view}}\] \[-z_{view} \; z_{ndc} (f-n) = z_{view} \; (f+n) + 2fn\] \[-z_{view} \; z_{ndc} (f-n) - z_{view} \; (f+n) = 2fn\] \[z_{view}(-z_{ndc} (f-n) - (f+n)) = 2fn\] \[z_{view} = \frac{2fn}{-z_{ndc} (f-n) - (f+n)}\]


Below is the code for a function that converts a depth value from window-space to view-space, assuming the use of OpenGL-style perspective projection.

float LinearizeDepth(float depthWindowSpace, float n, float f)
{
        float depthNDC = depthWindowSpace * 2.0 - 1.0; // [-1, 1]
        return (2.0 * n * f) / (f + n - depthNDC * (f - n));
}


Orthographic Projection


The following GLM library function apply orthographic OpenGL-style projection:

glm::ortho()


In the case of openGL-style orthographic projection, \(z_{ndc}\) is calculated as follows:

\[z_{ndc} = \frac{2}{f - n} \, z_{view} - \frac{f+n}{f-n}\]

and hence, \(z_{view}\) can be calculated as follows:

\[z_{view} = \frac{(f - n)(z_{ndc} + \frac{f+n}{f-n})}{2}\]


Below is the code for a function that converts a depth value from window-space to view-space, assuming the use of OpenGL-style orthographic projection.

float LinearizeDepth(float depthWindowSpace, float n, float f)
{
       float depthNDC = depthWindowSpace * 2.0 - 1.0; // [-1, 1]
       return ((f-n) * (depthNDC + ((f+n) / (f-n)))) / 2;
}



Vulkan-style projection


Vulkan-style projection maps view-space depth values to ndc values to be in the range of \([0,1]\), which is then stored as in the depth-buffer.


Perspective Projection


The following GLM library function apply perspective Vulkan-style projection:

glm::perspectiveRH_ZO()


In the case of Vulkan-style perspective projection, \(z_{ndc}\) is calculated as follows:

\[z_{ndc} = \frac{\frac{f}{f-n} \, z_{view} - \frac{fn}{f-n}}{-z_{view}}\]

and hence, \(z_{view}\) can be calculated as follows:

\[z_{ndc} = \frac{f}{f-n} + \frac{-fn}{(f-n) \, z_{view}}\] \[z_{ndc} = \frac{1}{f-n}(f - \frac{fn}{z_{view}})\] \[z_{ndc}(f-n) = f - \frac{fn}{z_{view}}\] \[z_{ndc} \, f - z_{ndc} \, n = f(1 - \frac{n}{z_{view}})\] \[\frac{z_{ndc} \, f - z_{ndc} \, n}{f} = 1 - \frac{n}{z_{view}}\] \[\frac{n}{z_{view}} = 1 - \frac{z_{ndc} \, f - z_{ndc} \, n}{f}\] \[z_{view} = \frac{n}{1 - \frac{z_{ndc} \, f - z_{ndc} \, n}{f}}\] \[z_{view} = \frac{n}{\frac{f - z_{ndc} \, f + z_{ndc} \, n}{f}}\] \[z_{view} = \frac{nf}{f - z_{ndc} \, f + z_{ndc} \, n}\] \[z_{view} = \frac{nf}{f - z_{ndc}(f-n)}\]


Below is the code for a function that converts a depth value from window-space to view-space, assuming the use of OpenGL-style perspective projection.

float LinearizeDepth(float depthWindowSpace, float n, float f)
{
       return ((n*f) / (f - depthWindowSpace * (f-n))
}


Orthographic Projection


The following GLM library function apply perspective Vulkan-style projection:

glm::orthoRH_ZO()


In the case of Vulkan-style orthographic projection, \(z_{ndc}\) is calculated as follows:

\[z_{ndc} = \frac{z_{view} - n}{f - n}\]

and hence, \(z_{view}\) can be calculated as follows:

\[z_{view} = z_{ndc}(f-n) + n\]


Below is the code for a function that converts a depth value from window-space to view-space, assuming the use of Vulkan-style orthographic projection.

float LinearizeDepth(float depthWindowSpace, float n, float f)
{
       return depthWindowSpace * (f-n) + n
}




Below is a snippet of the compute shader code that linearizes the depth values sampled from the depth buffer, and computes the minimum and maximum depth for each tile.

shared vec2 threadDepths[numThreadsPerWorkGroup];

float LinearizeDepth(float depth)
{
    return (cameraNearPlane * cameraFarPlane) / (cameraFarPlane - depth * (cameraFarPlane - cameraNearPlane));
}

vec2 ComputeMinMaxDepth()
{
    uint threadIndex = (gl_LocalInvocationID.y * tileResolution.x) + gl_LocalInvocationID.x;
        
    uint tileIndex = (gl_WorkGroupID.y * uint(numTiles2D.x)) + gl_WorkGroupID.x;

    uvec2 textureCoordinates = (gl_WorkGroupID.xy * tileResolution) + gl_LocalInvocationID.xy;
    
    float depth = LinearizeDepth(texelFetch(depthTexture, ivec2(textureCoordinates), 0).r);
    
    threadDepths[threadIndex] = vec2(depth);
    
    barrier();
    
    for(uint stride = 1; stride < numThreadsPerWorkGroup; stride*=2){
        if(threadIndex % (stride*2) == 0){
            float minZ = min(threadDepths[threadIndex].x, threadDepths[threadIndex + stride].x);
            float maxZ = max(threadDepths[threadIndex].y, threadDepths[threadIndex + stride].y);
            threadDepths[threadIndex] = vec2(minZ, maxZ);
        }
        barrier();
    }
    
    float minDepth = threadDepths[0].x;
    float maxDepth = threadDepths[0].y;
    
    return vec2(minDepth, maxDepth);
}



Frustum-Sphere Intersection Test


Consider the frustum \(F_{ij}\) of the tile \(T_{ij}\), and the bounding sphere \(B_k\) of the light source \(L_k\), where \(r_k\) and \(c_k = (c_{kx}, c_{ky}, c_{kz})\) are the radius and the center of the bounding sphere respectively. We want to test the intersection between \(B_k\) and \(F_{ij}\).

Let \(n\) and \(f\) be the near and far plane of the frustum \(F_{ij}\), and \(d_{k, min}\) and \(d_{k, max}\) be the minimum and maximum depth of the bounding sphere \(B_k\) respectively, where

\[d_{k, min} = c_{kz} - r_k\] \[d_{k, max} = c_{kz} + r_k\]

If \(d_{k, min} > f\), then the entire sphere \(B_k\) is beyond the far plane, and hence, \(B_k\) is not intersecting with \(F_{ij}\). Similarly, if \(d_{k, max} < n\), then the entire sphere \(B_k\) is beyond the near plane, and thus, \(B_k\) is not intersecting with \(F_{ij}\).

Next, we need to check whether the bounding sphere \(B_k\) is within the left, right, bottom and top planes of the frustum. We discussed that the equation

\[P \cdot q = d\]

gives the signed distance \(d\) between the plane \(P\) and the point \(q\), where if \(d \geq 0\), then \(q\) must be on the positive side of the plane, and if \(d \leq 0\), then \(q\) must be on the negative side of the plane.

We also discussed that a point \(q_{view}\) is inside the frustum \(F_{ij}\) if all of the following is true:

\[\pi_{ij}^L \cdot q_{view} \geq 0\] \[\pi_{ij}^B \cdot q_{view} \geq 0\] \[\pi_{ij}^R \cdot q_{view} \geq 0\] \[\pi_{ij}^T \cdot q_{view} \geq 0\]

To check whether the sphere \(B_k\) is inside the frustum \(F_{ij}\) or not, we need to compute the signed distance \(d\) between the center \(c_k\) and each plane of the frustum.

If there exist at least one plane \(\pi_{ij}\) in the frustum \(F_{ij}\) in which the distance \(d\) between \(c_k\) and \(\pi_{ij}\) is negative and greater than the radius \(r_k\), then the bounding sphere \(B_k\) must be completely outside the frustum \(F_{ij}\). Otherwise, the bounding sphere \(B_k\) is intersecting or inside the frustum \(F_{ij}\).


Below is the code for a function that checks for intersection between the bounding sphere of the light source and the frustum of the tile.

bool IsLightVisible(vec4 lightBoundingSphere, float minDepth, float maxDepth, uint tileIndex)
{    
    vec3 lightCenter = lightBoundingSphere.xyz;
    float lightDepth = -lightBoundingSphere.z;
    float radius = lightBoundingSphere.w;    
    
    float lightMinDepth = lightDepth - radius;
    float lightMaxDepth  = lightDepth + radius;
    if(lightMaxDepth < minDepth)
        return false;
    if(lightMinDepth > maxDepth)
        return false;
        
    uint baseP = tileIndex * 4;
        
    for(int i = 0; i < 4; i++){
        vec4 plane = tilesFrustumPlanes[baseP+i];
        if(dot(plane, vec4(lightCenter, 1.0f)) < -radius)
            return false;
    }
    
    return true;
}




Below is the code for the complete compute shader that implements naive light culling algorithm, assuming the resolution of each tile is \(16 \times 16\), and hence, the use of a grid of \(16 \times 16\) threads in each workgroup.

#version 450

layout(local_size_x = 16, local_size_y = 16, local_size_z = 1) in;

layout(binding = 0) uniform sampler2D depthTexture;

layout(std430, binding = 1) readonly buffer LightBoundingSpheresViewSpace{
    vec4 lightBoundingSpheresViewSpace[];
};

layout(std430, binding = 2) buffer TileLightCount {
    uint tileLightCount[];
};

layout(std430, binding = 3) buffer TileLightIndices {
    uint tileLightIndices[];
};

layout(std140, binding = 4) uniform LightCullingUniformVariables{
    float nearClippingPlane;
    float farClippingPlane;
    uvec2 numTiles2D;
};

layout(std430, binding = 5) readonly buffer TilesFrustumPlanes{
    vec4 tilesFrustumPlanes[];
};

const uvec2 tileResolution = uvec2(16, 16);
const uint numThreadsPerWorkGroup = tileResolution.x * tileResolution.y;
shared vec2 threadDepths[numThreadsPerWorkGroup];

float LinearizeDepth(float depth)
{
    return (cameraNearPlane * cameraFarPlane) / (cameraFarPlane - depth * (cameraFarPlane - cameraNearPlane));
}

bool IsLightVisible(vec4 lightBoundingSphere, float minDepth, float maxDepth, uint tileGeometryBitMask, uint tileIndex)
{
    vec3 lightCenter = lightBoundingSphere.xyz;
    float lightDepth = -lightBoundingSphere.z;
    float radius = lightBoundingSphere.w;    
    float lightMinDepth = lightDepth - radius;
    float lightMaxDepth  = lightDepth + radius;
    if(lightMaxDepth < minDepth)
        return false;
    if(lightMinDepth > maxDepth)
        return false;

    uint baseP = tileIndex * 4;
        
    for(int i = 0; i < 4; i++){
        vec4 plane = tilesFrustumPlanes[baseP+i];
        if(dot(plane, vec4(lightCenter, 1.0f)) < -radius)
            return false;
    }

    return true;
}

void main()
{
    uint threadIndex = (gl_LocalInvocationID.y * tileResolution.x) + gl_LocalInvocationID.x;
    
    uint numLights = lightBoundingSpheresViewSpace.length();
    
    uint tileIndex = (gl_WorkGroupID.y * uint(numTiles2D.x)) + gl_WorkGroupID.x;

    uvec2 textureCoordinates = (gl_WorkGroupID.xy * tileResolution) + gl_LocalInvocationID.xy;
    
    float depth = LinearizeDepth(texelFetch(depthTexture, ivec2(textureCoordinates), 0).r);
    
    threadDepths[threadIndex] = vec2(depth);
    
    barrier();
    
    for(uint stride = 1; stride < numThreadsPerWorkGroup; stride*=2){
        if(threadIndex % (stride*2) == 0){
            float minZ = min(threadDepths[threadIndex].x, threadDepths[threadIndex + stride].x);
            float maxZ = max(threadDepths[threadIndex].y, threadDepths[threadIndex + stride].y);
            threadDepths[threadIndex] = vec2(minZ, maxZ);
        }
        barrier();
    }
    
    float minDepth = threadDepths[0].x;
    float maxDepth = threadDepths[0].y;
    
    if(threadIndex == 0)
        tileLightCount[tileIndex] = 0;
    
    barrier();
    
    if(threadIndex < numLights){
        vec4 lightBoundingSphere = lightBoundingSpheresViewSpace[threadIndex];
        if(IsLightVisible(lightBoundingSphere, minDepth, maxDepth, tileIndex)){
            uint i = atomicAdd(tileLightCount[tileIndex], 1);
            tileLightIndices[(tileIndex * numLights)+i] = threadIndex;
        }
    }
}



Below is a snippet code of the fragment shader of the main shading pass that computes the tile the fragment resides in, and in turn, determines the list of light indices to traverse to compute lighting.

uvec2 tileUV = uvec2(gl_FragCoord.xy) / tileResolution;
uint tileIndex = (tileUV.y * fs.numTiles2D.x) + tileUV.x;
float depth = LinearizeDepth(gl_FragCoord.z);
float minDepth = tileLightCullingPrepass[tileIndex].x;
float maxDepth = tileLightCullingPrepass[tileIndex].y;
uint tileCellIndex = ComputeCellIndex(depth, minDepth, maxDepth);
uint lightCount = tileLightCount[(tileIndex * numCellsPerTile) + tileCellIndex];
uint startingIndex = (tileIndex * fs.numLights * numCellsPerTile) + (tileCellIndex * fs.numLights);
uint endingIndex = startingIndex + lightCount;



Car scene
Car scene
Car scene heat map, where minimum intensity of each light source is \(\frac{I}{10}\)
Car scene heat map, where minimum intensity of each light source is \(\frac{I}{10}\)




Depth Discontinuities


One of the main problems of the naive light culling algorithm is a phenomena called Depth Discontinuities.

Consider an arbitrary scene that is rendered using an engine that is implementing a naive light culling algorithm. If a tile does not have any geometry triangles in it, the computed minimum and maximum depth of the tile will be zero, and hence, there will be no intersections between light bounding spheres and the frustum of that tile.

However, consider a tile that contains triangles really close to the near plane, and triangles really close to the far plane, with no triangles at in the region in between. The computed minimum and maximum depth of that tile will be huge, resulting in many false-positive intersections with light’s bounding spheres, and thus, defeating the purpose of light culling.

This scene example is not an extreme case, rather it is fairly common. Examples of these scenes are:

  • A scene of a forest with tall grass or vegetation

  • A scene of a character framed against a distant mountain

  • etc…


The solution to this problem is to use an algorithm called \(2.5D\) light culling algorithm.


Cake scene
Cake scene
Cake scene heat map, where minimum intensity of each light source is \(\frac{I}{2}\)
Cake scene heat map, where minimum intensity of each light source is \(\frac{I}{2}\)



\(2.5D\) Light Culling Algorithm


The idea of the \(2.5D\) light culling algorithm is to split the depth range of the tile into \(n\) cells. Each cell is independent, and has its own array of light indices \(V_{ij}\), and its own light count \(C_{ij}\).

For each pixel \(P_{gk}\) within the tile \(T_{ij}\), we will sample its depth value from the depth buffer, and accordingly, compute the index of the depth cell it resides. The cells that contains pixels will be marked as occupied, and those that do not will be marked as empty.

Then, while checking for intersection between the light bounding sphere and the frustum of the tile, we will compute the minimum and maximum cell indices the light bounding sphere occupies. If all the cells in that range are empty, then the light bounding sphere will not be appended to \(V_{ij}\), even if it intersects the frustum, since there is no geometry in those regions in the first place to be affected by lighting. If there is at least one cell in that range of cells that is occupied, then light bounding sphere is appended to the array \(V_{ij}\).

The depth range can be sliced either linearly, in which all slices are equal, logarithmically, in which cells get bigger as it approaches the far plane. Logarithmic slicing is preferred, since perspective projection causes depth values near the camera to be in high resolution than those far away. Having tiny slices near the camera allows finer seperation of geometry into seperate slices.


Below is the code for the function that computes the cell slice of the pixel:

uint ComputeCellIndex(float depth, float minDepth, float maxDepth)
{
    float depth01 = log(depth / minDepth) / log(maxDepth / minDepth);
    uint cellIndex = uint(depth01 * float(numCellsPerTile));
    
    return max(min(cellIndex, numCellsPerTile - 1u), 0);
}


A typical way to represent cells in the depth range is the use of the bits within a variable. That is, each bit within the variable represents a cell in the depth range. If the bit is \(0\), then that cell is empty. Otherwise, the cell is occupied.


Depth Slicing
Depth Slicing


The bits of the unsigned integer variable can be filled in parallel using the following code:

uvec2 textureCoordinates = (gl_WorkGroupID.xy * tileResolution) + gl_LocalInvocationID.xy;
float depth = LinearizeDepth(texelFetch(depthTexture, ivec2(textureCoordinates), 0).r);
uint threadCellIndex = ComputeCellIndex(depth, minDepth, maxDepth);
atomicOr(tilesGeometryBitMask[tileIndex], 1u << threadCellIndex);

The naive light culling algorithm is considered a case of the 2.5D culling algorithm, in which \(n = 1\). Another light culling algorithm called HalfZ is also considered another case in which \(n = 2\)



Desk scene
Desk scene
Desk scene heat map, where minimum intensity of each light source is \(\frac{9 \, I}{10}\)
Desk scene heat map, where minimum intensity of each light source is \(\frac{9 \, I}{10}\)




Below is the code for the complete compute shader that implements 2.5D light culling algorithm, assuming the number of cells per tile is 32, and the resolution of each tile is \(16 \times 16\), and hence, the use of a grid of \(16 \times 16\) threads in each workgroup.

#version 450

layout(local_size_x = 16, local_size_y = 16, local_size_z = 1) in;

layout(binding = 0) uniform sampler2D depthTexture;

layout(std430, binding = 1) readonly buffer LightBoundingSpheresViewSpace{
    vec4 lightBoundingSpheresViewSpace[];
};

layout(std430, binding = 2) buffer TileLightCount {
    uint tileLightCount[];
};

layout(std430, binding = 3) buffer TileLightIndices {
    uint tileLightIndices[];
};

layout(std140, binding = 4) uniform LightCullingUniformVariables {
    float nearClippingPlane;
    float farClippingPlane;
    uvec2 numTiles2D;
};

layout(std430, binding = 5) readonly buffer TilesFrustumPlanes{
    vec4 tilesFrustumPlanes[];
};

const uint numCellsPerTile = 32;
const uvec2 tileResolution = uvec2(16, 16);
const uint numThreadsPerWorkGroup = tileResolution.x * tileResolution.y;
shared vec2 threadDepths[numThreadsPerWorkGroup];

struct LightVisibilityInfo{
    bool isVisible;
    uint minCell;
    uint maxCell;
};

float LinearizeDepth(float depth)
{
    return (cameraNearPlane * cameraFarPlane) / (cameraFarPlane - depth * (cameraFarPlane - cameraNearPlane));
}

uint ComputeCellIndex(float depth, float minDepth, float maxDepth)
{
    float depth01 = log(depth / minDepth) / log(maxDepth / minDepth);
    uint cellIndex = uint(depth01 * float(numCellsPerTile));
    
    return max(min(cellIndex, numCellsPerTile - 1u), 0);
}

LightVisibilityInfo IsLightVisible(vec4 lightBoundingSphere, float minDepth, float maxDepth, uint tileGeometryBitMask, uint tileIndex)
{
    LightVisibilityInfo info;
    
    vec3 lightCenter = lightBoundingSphere.xyz;
    float lightDepth = -lightBoundingSphere.z;
    float radius = lightBoundingSphere.w;
    
    float lightMinDepth = lightDepth - radius;
    float lightMaxDepth  = lightDepth + radius;
    if(lightMaxDepth < minDepth) {
        info.isVisible = false;
        return info;
    }
    if(lightMinDepth > maxDepth) {
        info.isVisible = false;
        return info;
    }

    uint baseP = tileIndex * 4;
        
    for(int i = 0; i < 4; i++){
        vec4 plane = tilesFrustumPlanes[baseP+i];
        if(dot(plane, vec4(lightCenter, 1.0f)) < -radius){
            info.isVisible = false;
            return info;
        }
    }
    
    uint i1 = ComputeCellIndex(lightMinDepth, minDepth, maxDepth);
    uint i2 = ComputeCellIndex(lightMaxDepth, minDepth, maxDepth);
    
    info.minCell = min(i1, i2);
    info.maxCell = max(i1, i2);
    
    bool isDiscard = true;
    for(uint i = info.minCell; i <= info.maxCell; i++){
        if(((tileGeometryBitMask >> i) & 1u) == 1){
            isDiscard = false;
            break;
        }
    }
    
    if(isDiscard){
        info.isVisible = false;
        return info;
    }

    info.isVisible = true;
    return info;
}

void main()
{
    uint numLights = lightBoundingSpheresViewSpace.length();
    
    uint threadIndex = (gl_LocalInvocationID.y * tileResolution.x) + gl_LocalInvocationID.x;
    
    uint tileIndex = ((gl_WorkGroupID.y * uint(numTiles2D.x)) + gl_WorkGroupID.x);
        
    uvec2 textureCoordinates = (gl_WorkGroupID.xy * tileResolution) + gl_LocalInvocationID.xy;
    
    float depth = LinearizeDepth(texelFetch(depthTexture, ivec2(textureCoordinates), 0).r);
    
    threadDepths[threadIndex] = vec2(depth);
    
    barrier();
    
    for(uint stride = 1; stride < numThreadsPerWorkGroup; stride*=2){
        if(threadIndex % (stride*2) == 0){
            float minZ = min(threadDepths[threadIndex].x, threadDepths[threadIndex + stride].x);
            float maxZ = max(threadDepths[threadIndex].y, threadDepths[threadIndex + stride].y);
            threadDepths[threadIndex] = vec2(minZ, maxZ);
        }
        barrier();
    }
    
    float minDepth = threadDepths[0].x;
    float maxDepth = threadDepths[0].y;
            
    uint threadCellIndex = ComputeCellIndex(depth, minDepth, maxDepth);
    atomicOr(tileGeometryBitMask, 1u << threadCellIndex);
        
    uint baseC = tileIndex * numCellsPerTile;
                    
    if(threadIndex < numCellsPerTile)
        tileLightCount[baseC+threadIndex] = 0;
    
    barrier();
    
    if(threadIndex < numLights){
        vec4 lightBoundingSphere = lightBoundingSpheresViewSpace[threadIndex];
        LightVisibilityInfo info = IsLightVisible(lightBoundingSphere, minDepth, maxDepth, tileGeometryBitMask, tileIndex);
        if(info.isVisible){
            uint baseI = tileIndex * numLights * numCellsPerTile;
            for(uint j = info.minCell; j <= info.maxCell; j++){
                uint i = atomicAdd(tileLightCount[baseC+j], 1);
                tileLightIndices[baseI+(j*numLights)+i] = threadIndex;
            }
        }
    }
}



Below is a snippet code of the fragment shader of the main shading pass that determines the tile the fragment resides in, and in turn, the list of light indices to traverse to compute lighting.

uvec2 tileUV = uvec2(gl_FragCoord.xy) / tileResolution;
uint tileIndex = (tileUV.y * fs.numTiles2D.x) + tileUV.x;
float depth = LinearizeDepth(gl_FragCoord.z);
float minDepth = tileLightCullingPrepass[tileIndex].x;
float maxDepth = tileLightCullingPrepass[tileIndex].y;
uint tileCellIndex = ComputeCellIndex(depth, minDepth, maxDepth);
uint lightCount = tileLightCount[(tileIndex * numCellsPerTile) + tileCellIndex];
uint startingIndex = (tileIndex * fs.numLights * numCellsPerTile) + (tileCellIndex * fs.numLights);
uint endingIndex = startingIndex + lightCount;



Spaceship scene
Spaceship scene
Spaceship scene heat map, where minimum intensity of each light source is \(\frac{I}{100}\)
Spaceship scene heat map, where minimum intensity of each light source is \(\frac{I}{100}\)





References


[1] \(\) \(\) Chapter 20.3 - Real-time Rendering by Tomas Akenine-Möller, Eric Haines, Naty Hoffman, Angelo Pesce, Michat Iwanicki, and Sébastien Hillaire

[2] \(\) \(\) Vulkan Documentation


I have built a real-time minimal demo in C++ and Vulkan that demonstrates light culling. It features:

  • Different scenes with varying complexities

  • A simple shading model that supports lighting

  • A simple UI where you can tweak different settings and immediately inspect performance. The UI parameters available to edit are:
    • A drop-down list to switch between different scenes
    • The intensity and color of each light source
    • The position of the light source
    • The radius of the bounding sphere of the light source
    • A flag to enable and disable light culling
    • A flag to inspect heat map
    • A drop-down list to switch between different light culling algorithms: naive, and 2.5D light culling algorithms
    • The number of depth cells per tile

The package is for sale on my gumroad page. It includes:

  • The demo macOS application
  • The complete C++ and Vulkan source source
  • The 3D models of all the scenes included in the demo

Only available on macOS Silicon


Buy Now
I have built a real-time minimal demo in C++ and Vulkan that demonstrates light culling. It features:

  • Different scenes with varying complexities

  • A simple shading model that supports lighting

  • A simple UI where you can tweak different settings and immediately inspect performance. The UI parameters available to edit are:
    • A drop-down list to switch between different scenes
    • The intensity and color of each light source
    • The position of the light source
    • The radius of the bounding sphere of the light source
    • A flag to enable and disable light culling
    • A flag to inspect heat map
    • A drop-down list to switch between different light culling algorithms: naive, and 2.5D light culling algorithms
    • The number of depth cells per tile

The package is for sale on my gumroad page. It includes:

  • The demo macOS application
  • The complete C++ and Vulkan source source
  • The 3D models of all the scenes included in the demo

Only available on macOS Silicon


Buy Now